Widerspruch Vorlage Jobcenter Best Of Runder Tisch Freiburg Nur Noch Sen Monat Anträge Für
Genial Widerspruch Vorlage Jobcenter
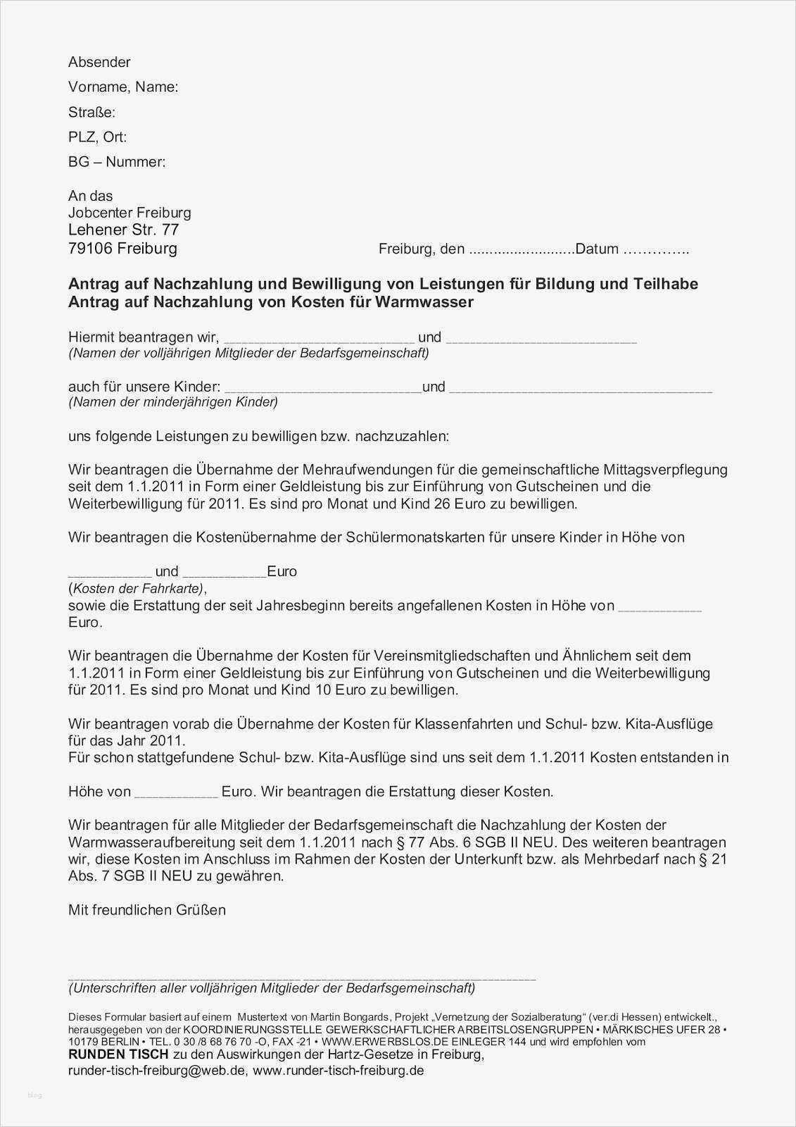
Galerie widerspruch beim jobcenter muster widerspruch beim jobcenter im muster wählen sie ihr thema in der folgenden Übersicht finden sie alle themen rund um den hartz iv widerspruch die vorlagen stellen wir ihnen kostenlos zur verfügung bedenken sie allerdings dass sie se an ihre individuelle situation anpassen müssen musterbrief widerspruch › vorlagen und anleitungen musterbrief für einen widerspruch ein widerspruch kann zum beispiel bei einem harz iv bescheid nötig werden wenn der betrag der „gewährt“ wird nicht hoch genug ist oder einkünfte zu hoch angerechnet wurden widerspruch hartz 4 alles was du brauchst inkl jobcenter arge anschrift ort den datum widerspruch gegen ihren bescheid vom aktenzeichen nummer der bedarfsgemeinschaft sehr geehrte damen und herren hiermit lege ich widerspruch gegen ihren bescheid ein den ich am erhalten habe
platziert einfach durch Jacqueline Dean von 2022-04-23 18:14:07.Anzeigen alle Fotos innerhalb Genial Widerspruch Vorlage Jobcenter
Galerie BilderGaleriemusstdu halten Sie sich an dieser Art von Url.


















































