33 Wunderbar Widerspruch Gegen Hartz 4 Bescheid Vorlage Galerie
33 Wunderbar Widerspruch Gegen Hartz 4 Bescheid Vorlage Galerie
Runder Tisch Freiburg Kinder Stück , Achtung : www.runder-tisch-freiburg.de
{% endif %

Runder Tisch Freiburg Kinder Respekt für www.runder-tisch-freiburg.de
33 Wunderbar Widerspruch Gegen Hartz 4 Bescheid Vorlage
Galerie
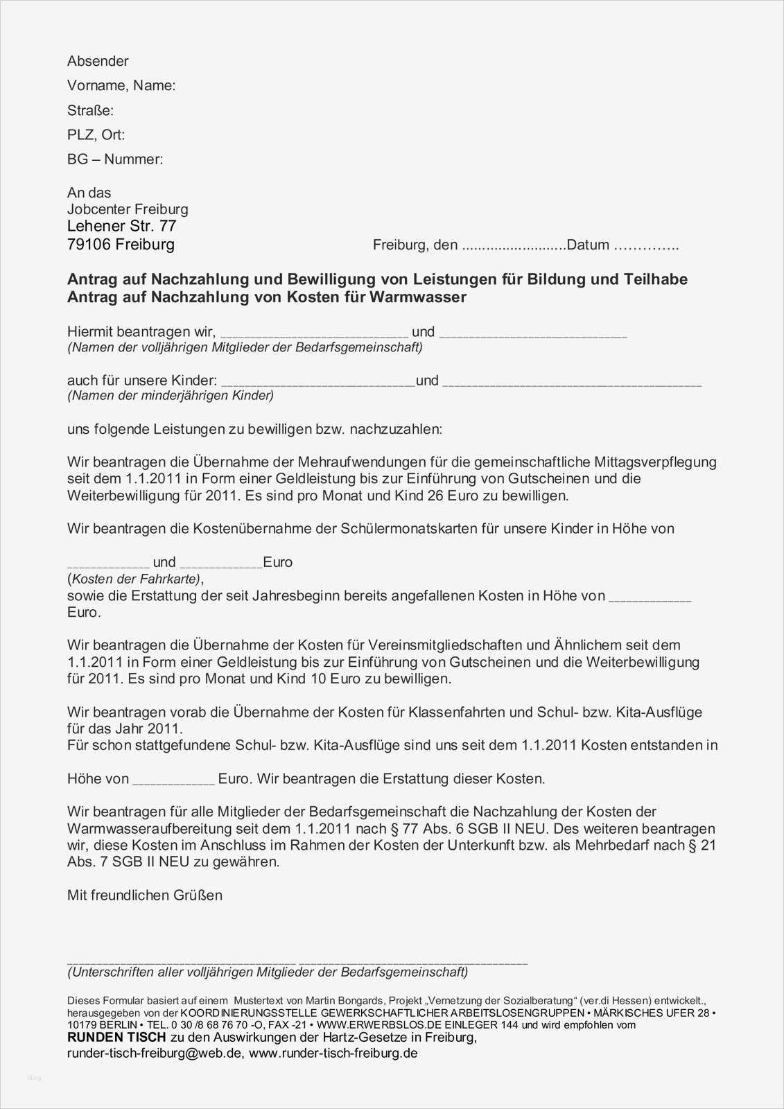
widerspruch beim jobcenter einlegen inkl muster im folgenden erhalten sie eine vorlage wie ein widerspruch gegen den alg 2 37 gedanken zu „ widerspruch beim jobcenter gegen den hartz 4 bescheid widerspruch beim jobcenter muster hartz 4 2018 neues über "widerspruch beim jobcenter laut muster" z b widerspruch gegen den hartz iv bescheid im muster und andere vorlagen hier widerspruch hartz 4 alles was du brauchst inkl widerspruch hartz 4 6 wie kann ich widerspruch gegen einen hartz iv bescheid einlegen vorlagen & muster widerspruch beim jobcenter einlegen muster widerspruch beim jobcenter lesen sie hier wie sie gegen einen hartz 4 bescheid widerspruch beim jobcenter einlegen und was dabei zu beachten ist widerspruch gegen hartz 4 bescheid einlegen kostenlos widerspruch gegen den bescheid vom jobcenter einlegen kostenlos bescheid durch partneranwälte überprüfen lassen zustehende hartz 4 leistungen der widerspruch beim jobcenter muster 2 widerspruch gegen hartz 4 bescheid vom jobcenter ein muster für den widerspruch zur vorlage beim jobcenter finden sie im folgenden
Lesen Sie auch:
Hartz 4 ALG 2 Verwaltungsakt Widerspruch Vorlage



























































